Altillo.com > Exámenes > UBA - Económicas > Análisis


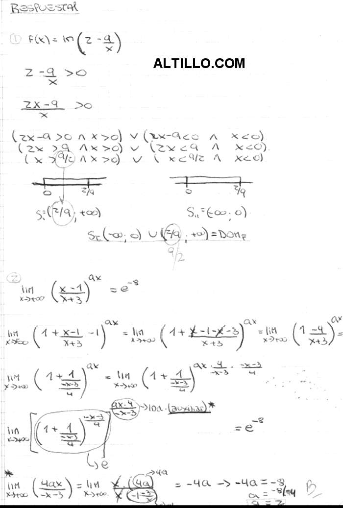
1º Parcial E  |  Análisis Matemático (Cátedra: Gutiérrez - 2024)  |  Cs. Económicas  |  UBA



 

Preguntas y Respuestas entre Usuarios: