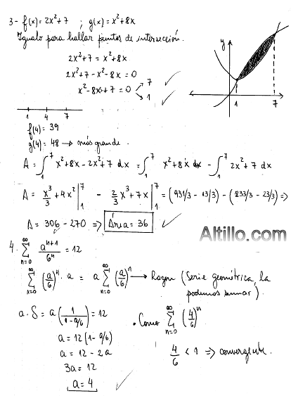
Altillo.com > Exámenes > UBA - Económicas > Análisis


1° Cuat. de 2014  |  2° Parcial (D)  |  Sede: Maschwitz  |  Profesor: Vivian Márquez  |  Cátedra: Gutierrez