Altillo.com > Exámenes > UBA - Económicas > Análisis

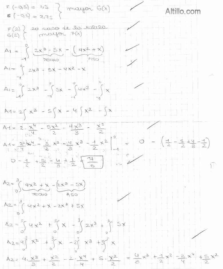
Análisis I

2° Parcial

Cátedra: Gutiérrez

2º Cuat. de  2011

Altillo.com