Altillo.com > Exámenes > UBA - Económicas > Análisis
|
Análisis |
2° Parcial |
Tema 2 |
1° Cuat. de 1997 |
Altillo.com |
1) La función de demanda para cierto producto es p = D(q) =
y el punto de equilibrio es (125;25).
Calcular el excedente del consumidor cuando el mercado está en equilibrio.
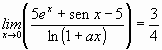
2) Hallar
para que 
3) Calcular el límite de la sucesión ![]()
4) Estudiar la convergencia de la serie![]()
Respuestas abajo
Respuestas
1) EC.
151,397
2) a = 8
3) ![]()
4) La serie converge