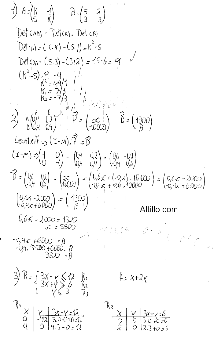
Altillo.com > Exámenes > UBA - Económicas > Álgebra


2º Parcial K  |  Algebra (Cátedra: Fauring - 2018)  |  CBC  |  UBA



 

Preguntas y Respuestas entre Usuarios: