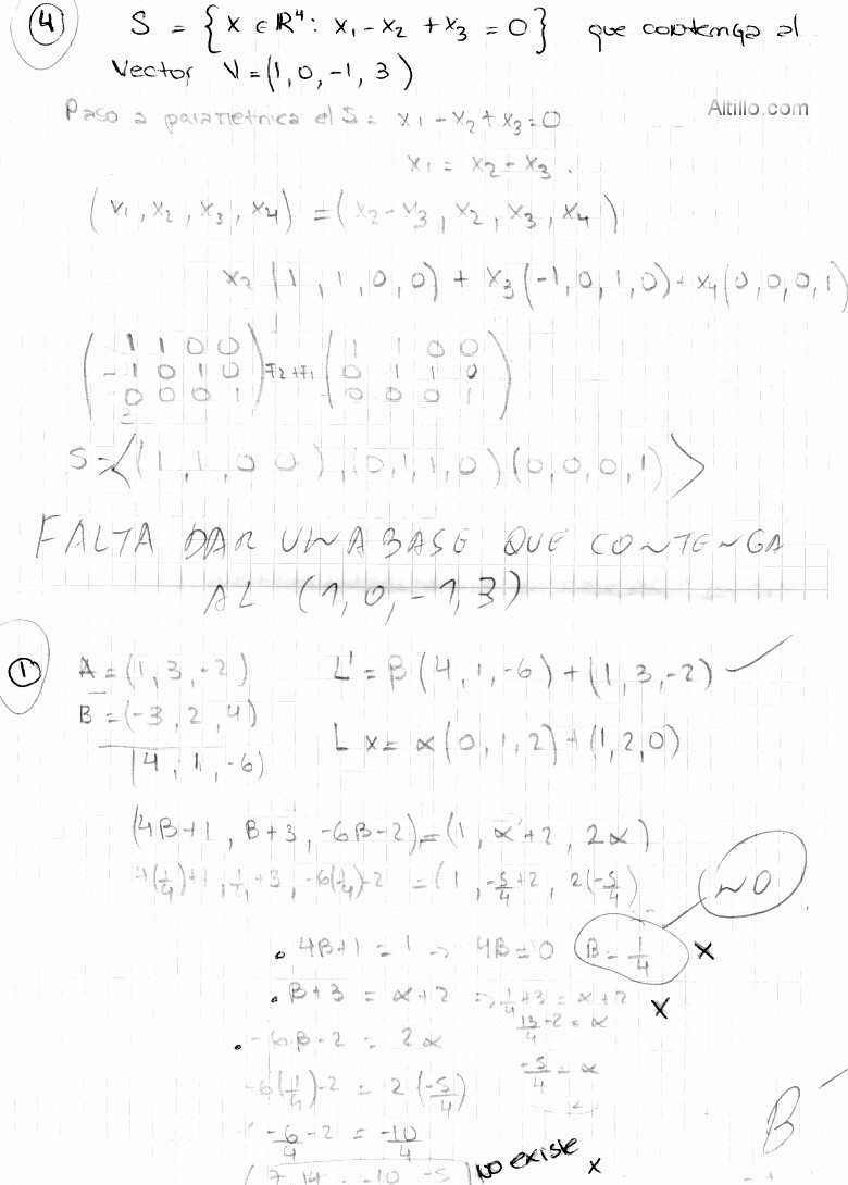
Altillo.com > Exámenes > UBA - Económicas > Álgebra

Álgebra

1º Parcial

Cátedra: Fauring Sede: Montes de Oca

 1º Cuat. del 2011

Altillo.com