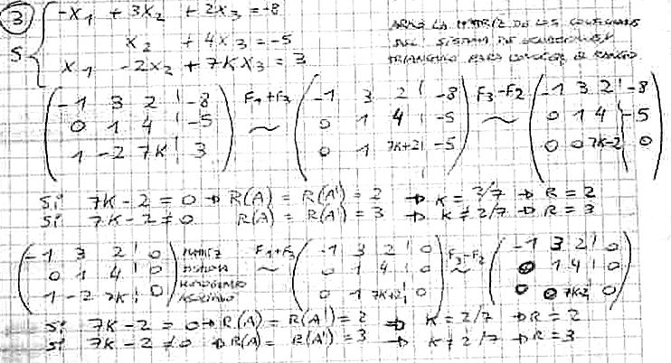
Altillo.com > Exámenes > UBA - Económicas > Álgebra

Álgebra

1º Parcial

Cátedra: Fauring (ex Gutierrez) Tema:1 Sede: Drago

2º Cuat. del 2007

Altillo.com