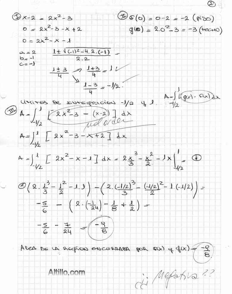
Altillo.com > Exámenes > UBA - CBC > Matemática


2° Cuat. de 2013  |  2° Parcial  |  Sede: Avellaneda |  Cátedra: Gutiérrez