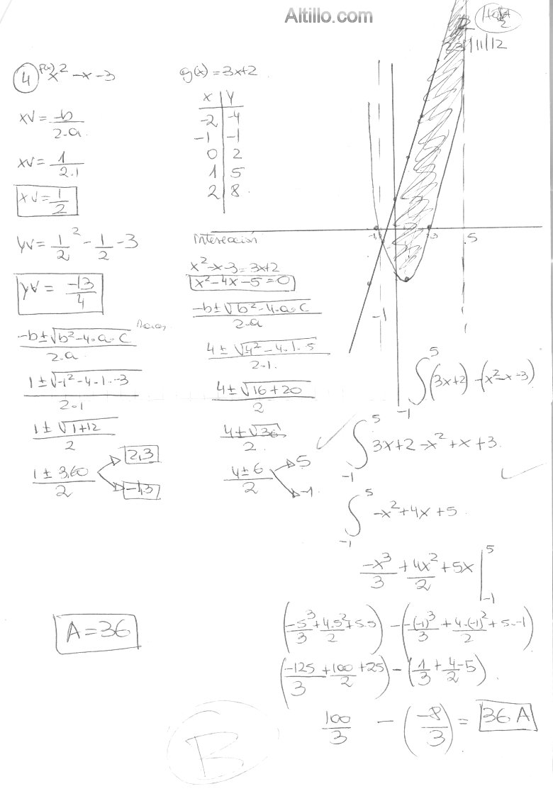
Altillo.com > Exámenes > UBA - CBC > Matemática

Matemática

2º Parcial

Cátedra: Gutiérrez

2° Cuat. de 2012

Altillo.com