Altillo.com > Exámenes > UBA - CBC > Matemática

Matemática

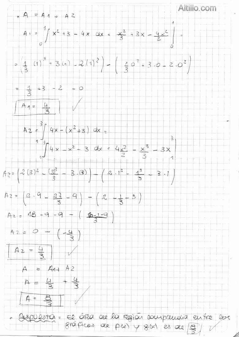
2º Parcial

Cátedra: Gutiérrez

1° Cuat. de 2012

Altillo.com