Altillo.com > Exámenes > UBA - CBC > Matemática

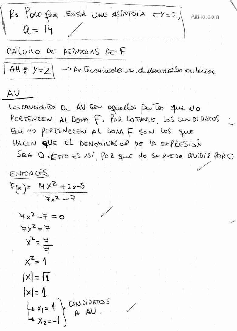
Matemática

1º Parcial

Cátedra: Gutiérrez Sede: Ciudad Universitaria 1º Cuat. de 2011

Altillo.com