Altillo.com > Exámenes > UBA - CBC > Matemática

Matemática

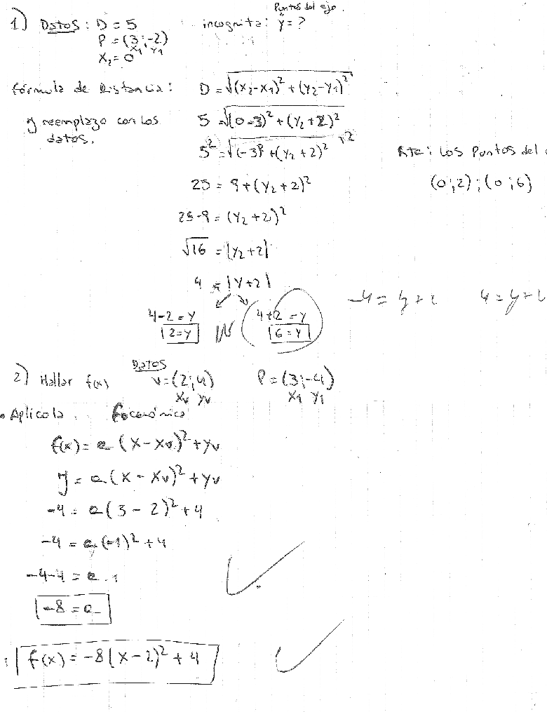
1º Parcial (Con Respuestas)

Cátedra: Gutierrez Sede: Ciudad Univ. Tema 1 2do Cuat. de 2007

Altillo.com