Altillo.com > Exámenes > UBA - CBC > Matemática
|
Matemática |
1º Parcial |
Cátedra: Gutiérrez | Sede Ciudad |
1° Cuat. de 2006 |
Altillo.com |
EN CADA EJERCICIO ESCRIBA LOS RAZONAMIENTOS QUE JUSTIFICAN LA RESPUESTA
1. Escribir como intervalo o unión de intervalos el
conjunto
![]()
2. Sea f(x)= (X + 12) (X - 4). Hallar el vértice del gráfico de f y calcular
la distancia entre ese vértice y el punto (0 , f (0) ).
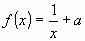
3. Hallar a de modo que y= 2 sea asíntota de h= fog, siendo
y
![]()
- Para el valor de a hallado, escribir las ecuaciones de todas las asíntotas
de h.
4. Sea
. Calcular f
- 1 (x) y dar su dominio.