Altillo.com > Exámenes > UBA - CBC > Matemática
|
Matemática |
1º Parcial |
2° Cuat. de 2002 |
Altillo.com |
1) Dada la función cuadrática f(x)= -2(x-3)2+8 , hallar los ceros, la imagen y las coordenadas del vértice de su grafico.
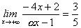
2_a) Hallar a para que el
.
b) Sea
con el valor de a hallado en a). Escribir las ecuaciones de las
asintotas vertical y horizontal de f. Justificar.
3) Instalar en enero un sistema de seguridad con cámaras de video tenía un costo fijo de instalación de $1200 y $125 por cámara instalada. Si en agosto estos precios se incrementaros un 40%, escribir la fórmula que representa el gasto en función de la cantidad de cámaras instaladas. Calcular cuantas cámaras se pueden instalar en agosto si se dispone de $3955.
4) Hallar
.