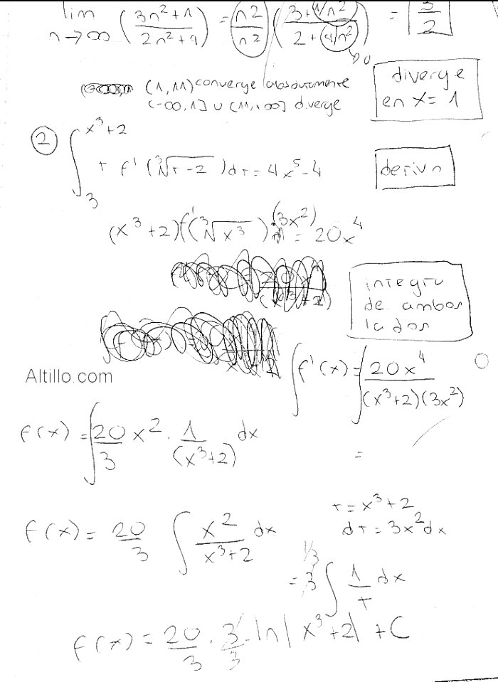
Altillo.com > Exámenes > UBA - CBC > Análisis


2º Parcial J  |  Análisis Matemático (Profesor: Jorge Balej - 2015)  |  CBC  |  UBA








 

Preguntas y Respuestas entre Usuarios: