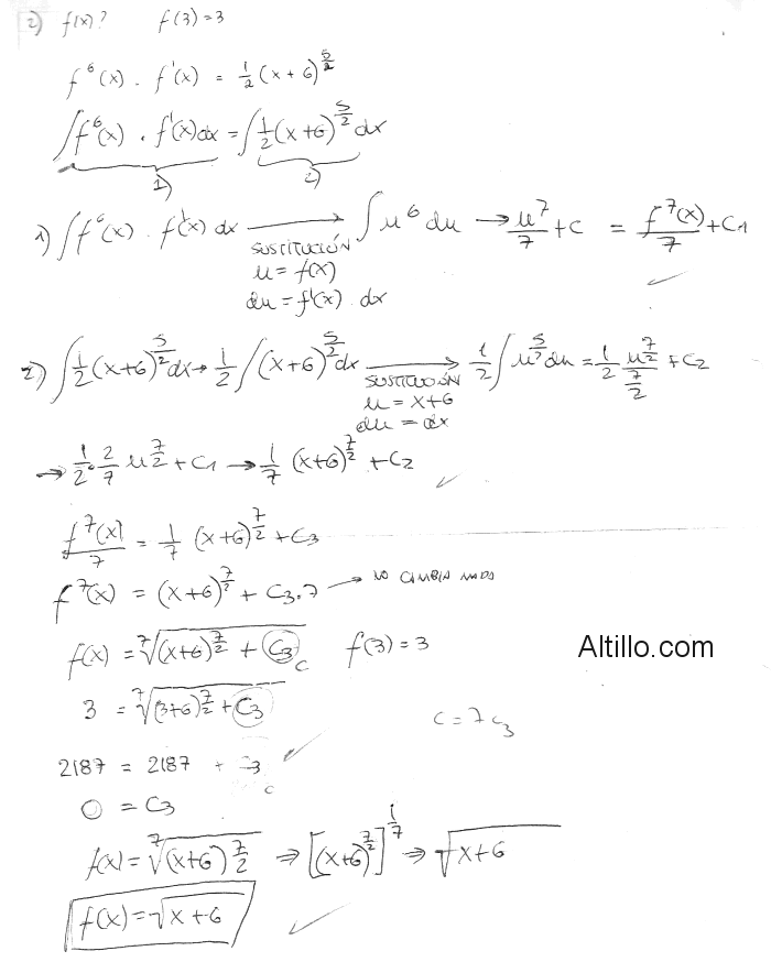
Altillo.com > Exámenes > UBA - CBC > Análisis


2º Parcial F  |  Análisis Matemático (2015)  |  CBC  |  UBA





 

Preguntas y Respuestas entre Usuarios: