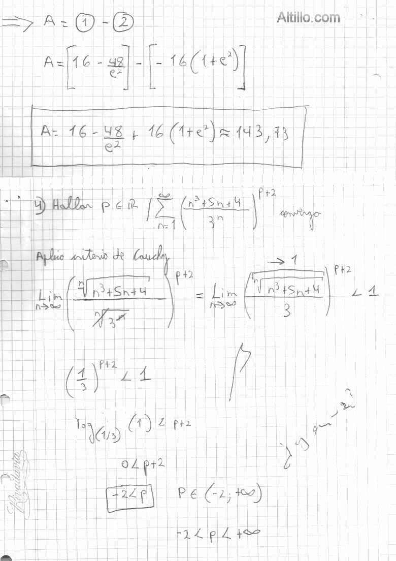
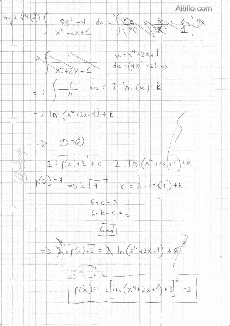
Altillo.com > Exámenes > UBA - Ciencias Exactas > Análisis I

Análisis I

2° Parcial

Cátedra única

1º Cuat. 2012

Altillo.com