Altillo.com > Exámenes > UBA - CBC > Análisis

Análisis

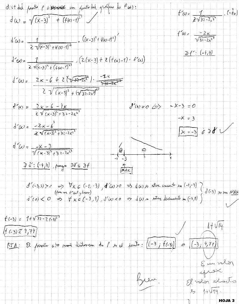
1º Parcial Con Respuestas Desarrolladas

Cátedra: única (Gutierrez)

1º Cuat. de 2007

Altillo.com