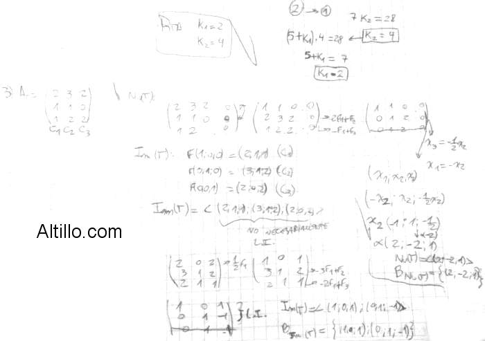
Altillo.com > Exámenes > UBA - CBC > Álgebra


2º Parcial B |  Algebra (2016)  |  CBC  |  UBA






 

Preguntas y Respuestas entre Usuarios: