Altillo.com > Exámenes > UBA - Ingeniería > Análisis II
|
Análisis II |
1º Parcial |
Tema 2 |
6 / 6 / 98 |
Altillo.com |
1_i) Hallar el radio de convergencia de la siguiente serie de potencias:
![]()
ii) Calcular la siguiente suma:
![]()
2) Calcular arctan (1/4) con error menor que 0.001.
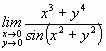
3) Calcular el siguiente límite:

4) Analizar la convergencia de la siguiente integral:

5) Analizar la existencia de los siguientes límites:
i) 
ii) 
Respuestas abajo.
Respuestas
1_i) La serie converge para
.
![]()
a)![]()
b)
(decreciente)
c)![]()
Por a, b y c, la serie converge por Leibnitz.


ii) 3 = C, B = 5 y A = 5
![]()
2) arctg (1/4) ~0,24479
3) 
4) Por el criterio
diverge


La serie converge para todo ![]()
diverge
![]()
5_i) ![]()
ii) ![]()