Altillo.com > Exámenes > UBA - CBC > Matemática
|
Matemática |
2° Parcial |
Altillo.com |
1) Hallar intervalos de crecimiento y de decrecimiento, máximos y mínimos
locales de
.
2) Hallar todos los puntos en que la recta tangente al gráfico de
tiene ecuación
.
3) Calcular![]()
4) Hallar el área de la región encerrada entre los gráficos de
y
.
Respuestas
1) ![]()
max: ![]()
min: x = 0
IC:
ID: ![]()
2) P = (-3, -14)
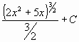
3) 
4) ![]()
