Altillo.com > Exámenes > UBA - CBC > Matemática
|
Matemática |
2° Parcial |
Altillo.com |
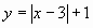
1) Hallar el dominio y los conjuntos de positividad y de negatividad de ![]()
2) Hallar los intervalos de crecimiento y de decrecimiento y los extremos
locales de
en
.
3) Hallar la ecuación de la recta tangente al gráfico de
en el punto de abscisa x =1
4) Calcular el área de la región encerrada por las curvas
e
.
Graficar.
Respuestas
1) ![]()
![]()
2) ![]()
IC =
ID = ![]()
Max local ![]()
Min local ![]()
3) ![]()
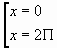
4) ![]()
