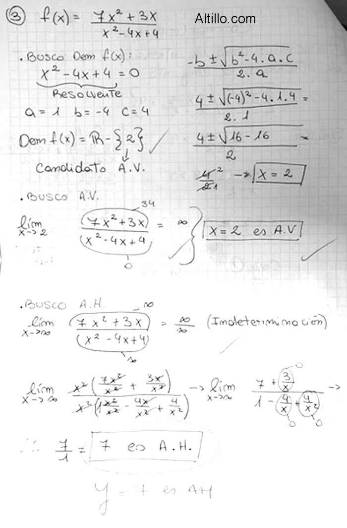
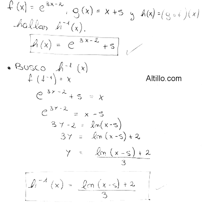
Altillo.com > Exámenes > UBA - CBC > Matemática


1º Parcial Z3  |  Matemática (2018)  |  CBC  |  UBA




 

Preguntas y Respuestas entre Usuarios: