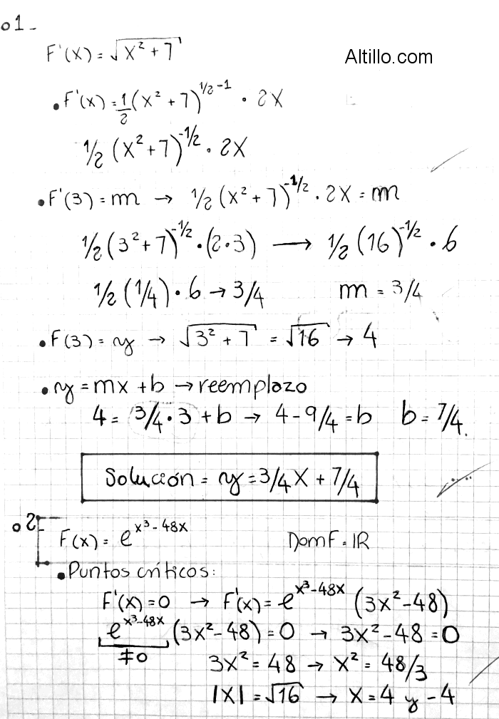
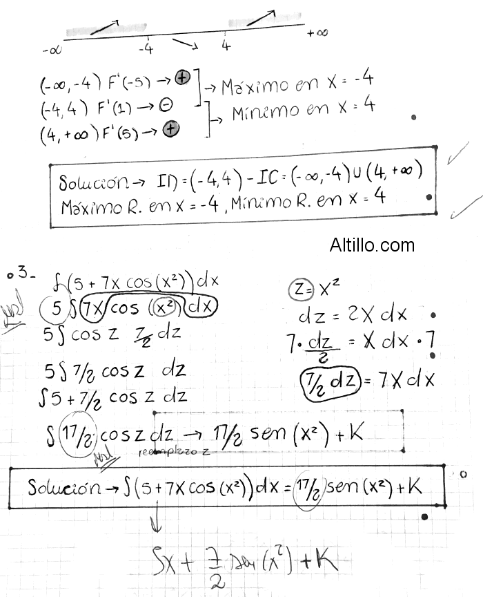
Altillo.com > Exámenes > UBA - CBC > Matemática


2º Parcial V  |  Matemática (2017)  |  CBC  |  UBA




 

Preguntas y Respuestas entre Usuarios: