Altillo.com > Exámenes > UBA - CBC > Matemática


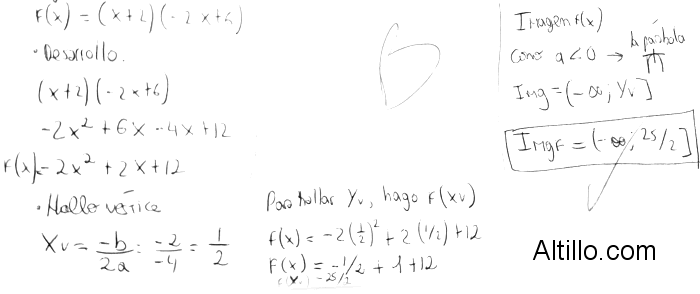
1º Parcial D  |  Matemática (2017)  |  CBC  |  UBA



 

Preguntas y Respuestas entre Usuarios: