Altillo.com > Exámenes > UBA - CBC > Matemática


2º Parcial S  |  Matemática (Profesor: Sebastián Maddoni - 2016)  |  CBC  |  UBA





 

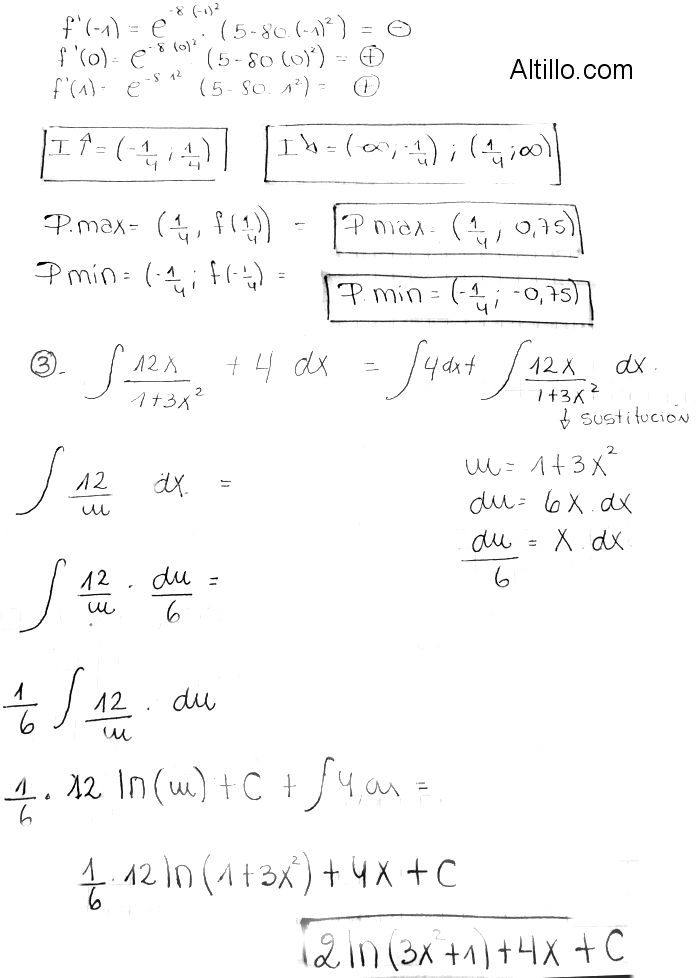
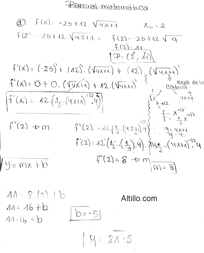
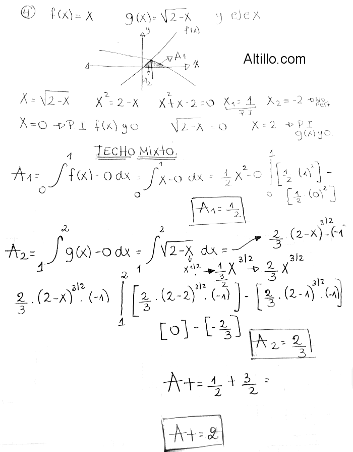
Preguntas y Respuestas entre Usuarios: