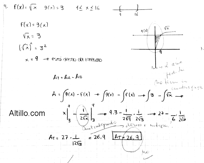
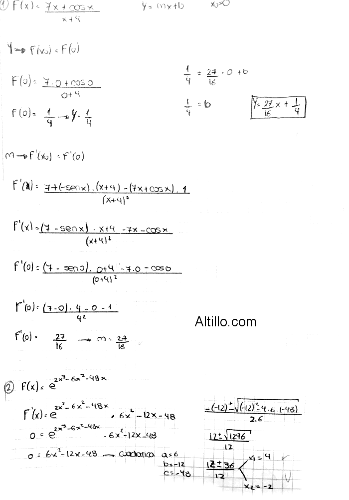
Altillo.com > Exámenes > UBA - CBC > Matemática


2º Parcial O  |  Matemática (2016)  |  CBC  |  UBA




 

Preguntas y Respuestas entre Usuarios: