Altillo.com > Exámenes > UBA - CBC > Matemática


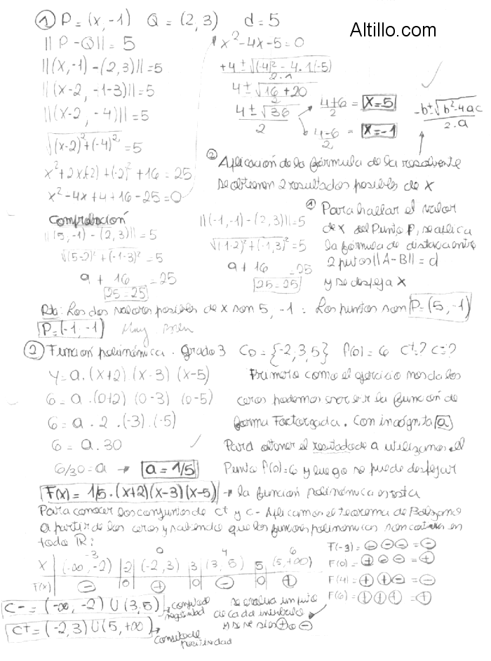
1º Parcial Z11  |  Matemática (Profesoras: Analia Ferrari y Fabiana - 2016)  |  CBC  |  UBA



 

Preguntas y Respuestas entre Usuarios: