Altillo.com > Exámenes > UBA - CBC > Matemática


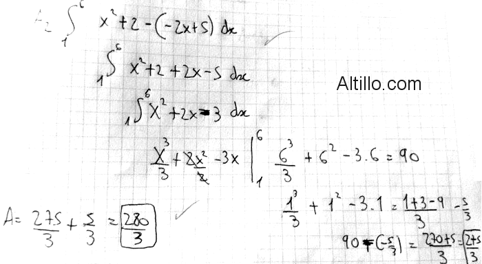
2º Parcial H  |  Matemática (2015)  |  CBC  |  UBA (Sede Ciudad Universitaria)






 

Preguntas y Respuestas entre Usuarios: