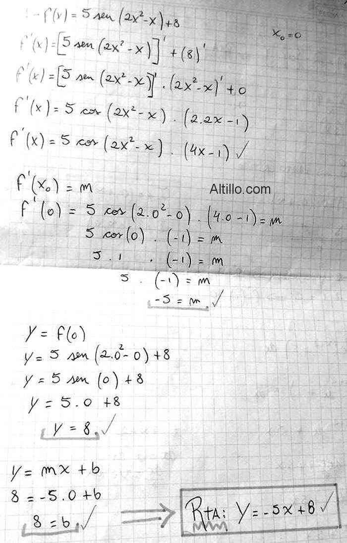
Altillo.com > Exámenes > UBA - CBC > Matemática


2º Parcial E  |  Matemática (2015)  |  CBC  |  UBA (Sede Avellaneda)





 

Preguntas y Respuestas entre Usuarios: