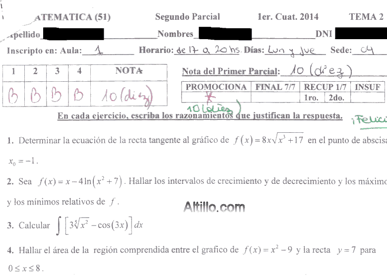
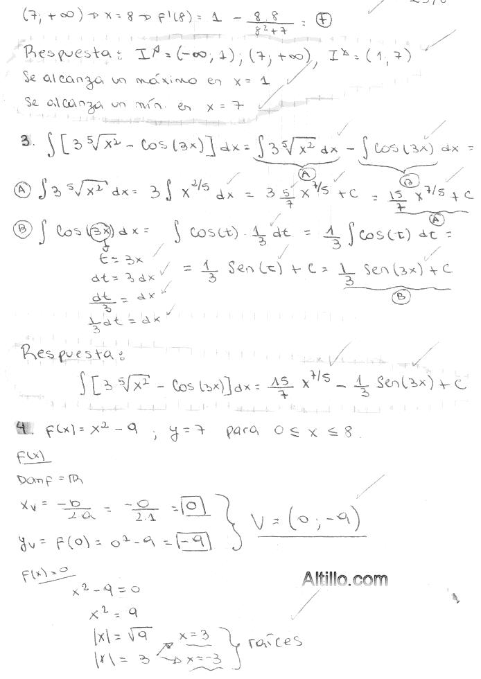
Altillo.com > Exámenes > UBA - CBC > Matemática


1° Cuat. de 2014  |  2° Parcial (B)  |  Cátedra: Gutiérrez