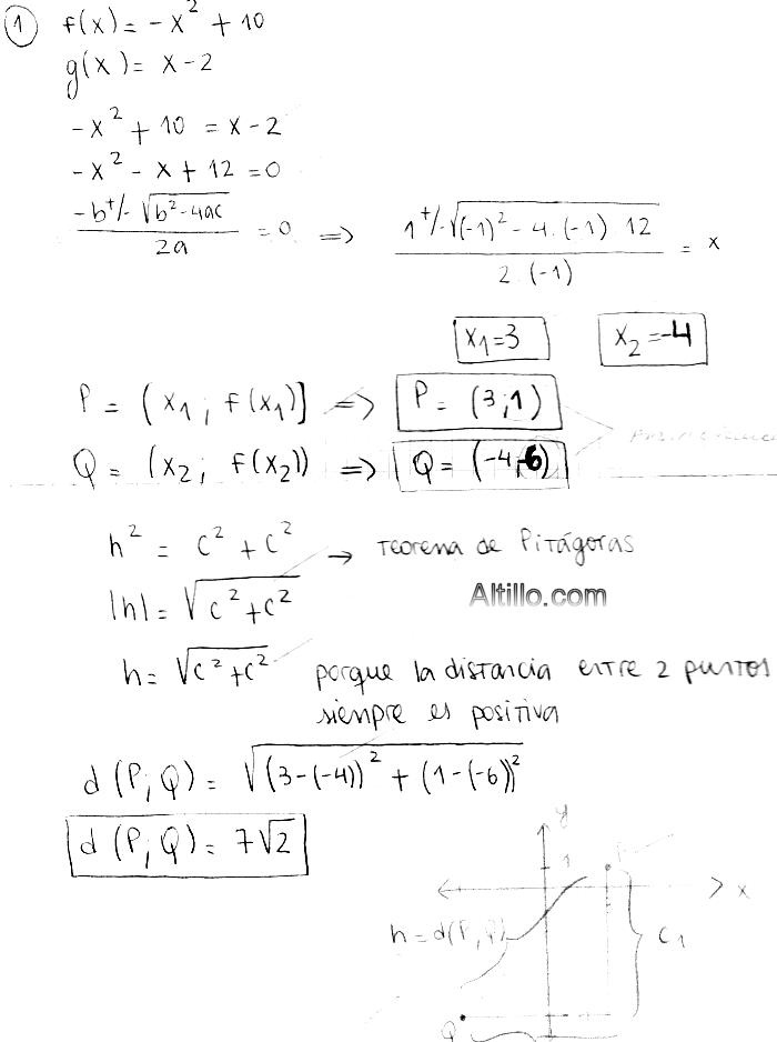
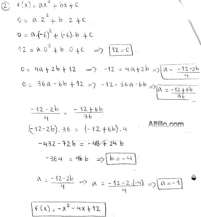
Altillo.com > Exámenes > UBA - CBC > Matemática


2° Cuat. de 2014  |  1° Parcial (Z7)  |  Sede: Puan  |  Cátedra: Gutiérrez