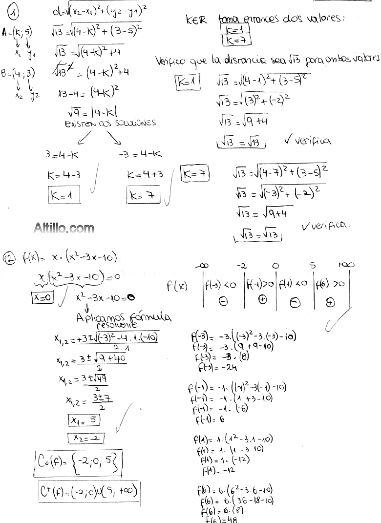
Altillo.com > Exámenes > UBA - CBC > Matemática


1° Cuat. de 2014  |  1° Parcial (M)  |  Sede: Ciudad Universitaria  |  Cátedra: Gutiérrez