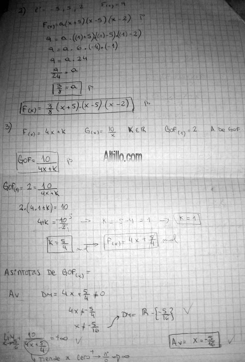
Altillo.com > Exámenes > UBA - CBC > Matemática


1º Parcial B  |  Matemática (Gutiérrez - 2014)  |  CBC |  UBA  |