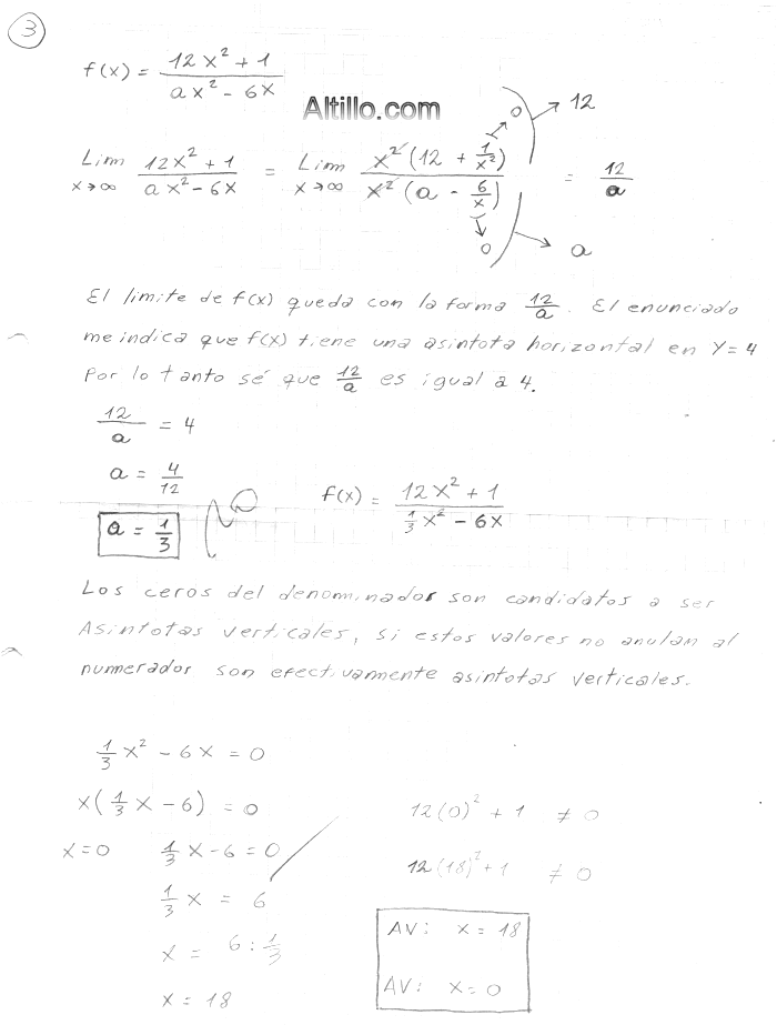
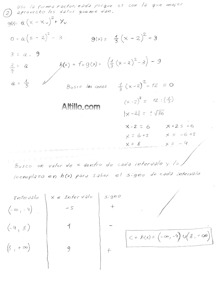
Altillo.com > Exámenes > UBA - CBC > Matemática


Curso de Verano de 2013  |  1° Parcial (Z39)  |  Cátedra: Gutiérrez