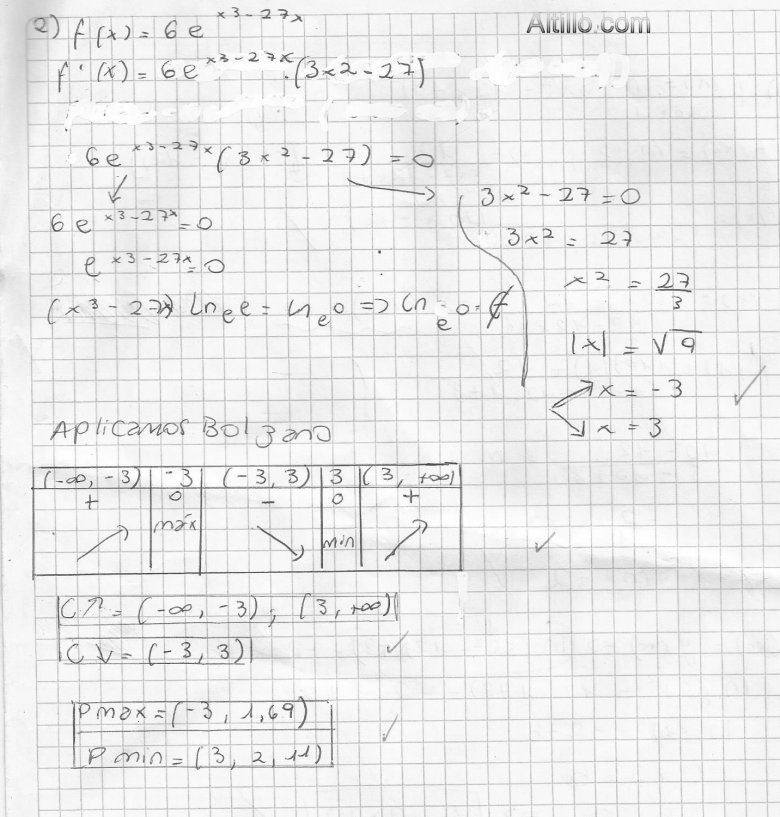
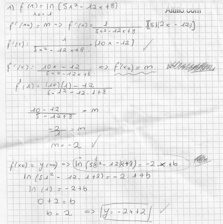
Altillo.com > Exámenes > UBA - CBC > Matemática

Matemática

2º Parcial (recuperatorio)

1º Cuat. de 2013

Altillo.com