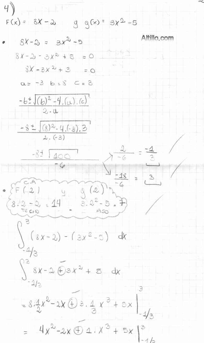
Altillo.com > Exámenes > UBA - CBC > Matemática

Matemática

2º Parcial

Sede: San Miguel 2º Cuat 2013

Altillo.com