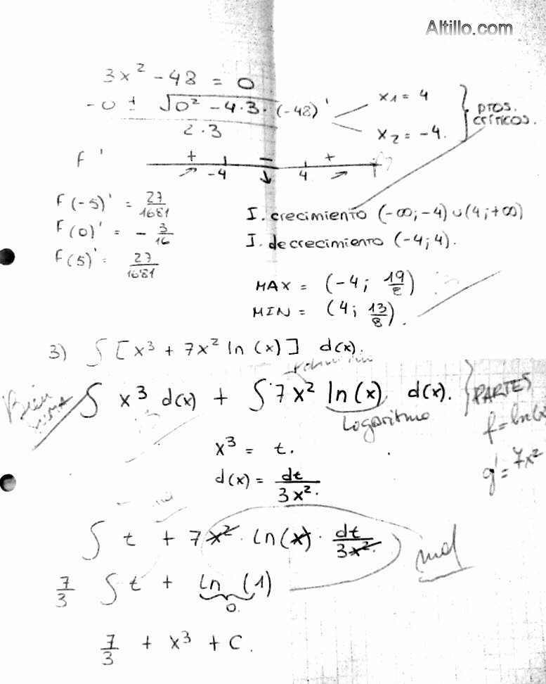
Altillo.com > Exámenes > UBA - CBC > Matemática

Matemática

2º Parcial

2º Cuat 2013 Sede: Ciudad Universitaria Prof: Gabriela y Mónica

Altillo.com