Altillo.com
>
Exámenes
>
UBA - CBC
>
Matemática
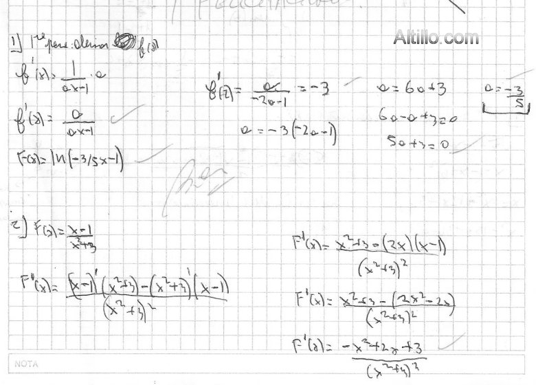
Matemática
2º Parcial
1º Cuat 2013
Altillo.com