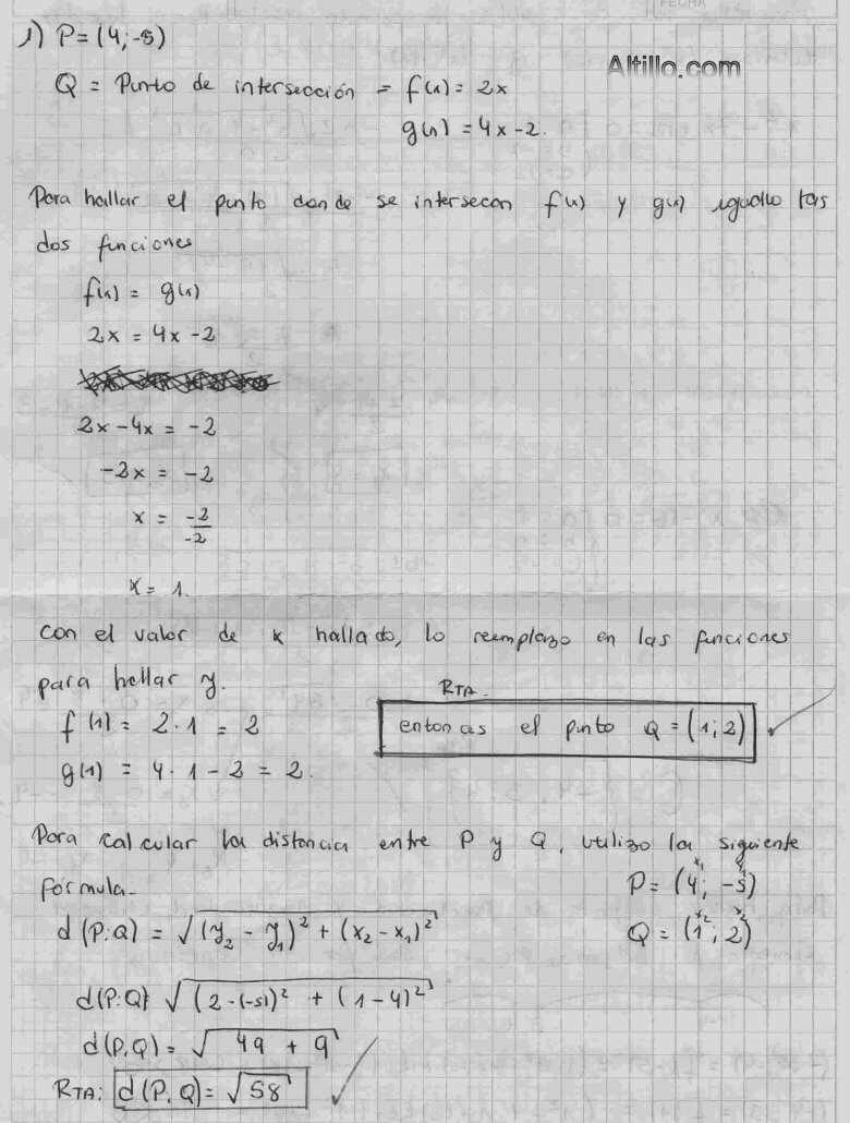
Altillo.com > Exámenes > UBA - CBC > Matemática

Matemática

1º Parcial

2º Cuat. de 2013

Sede: Avellaneda

Altillo.com