Altillo.com
>
Exámenes
>
UBA - CBC
>
Matemática
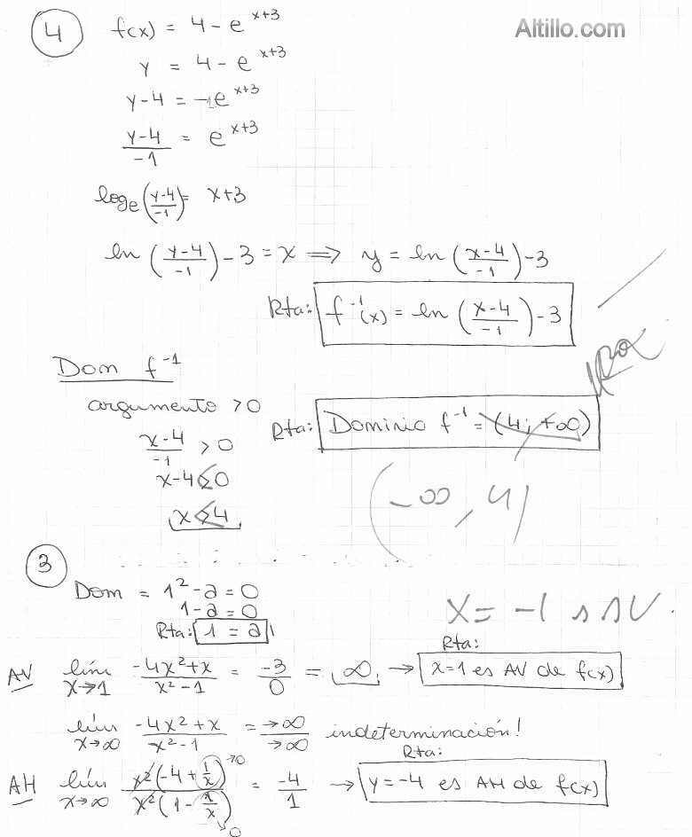
Matemática
1º Parcial
2º Cuat. de 2012
Altillo.com