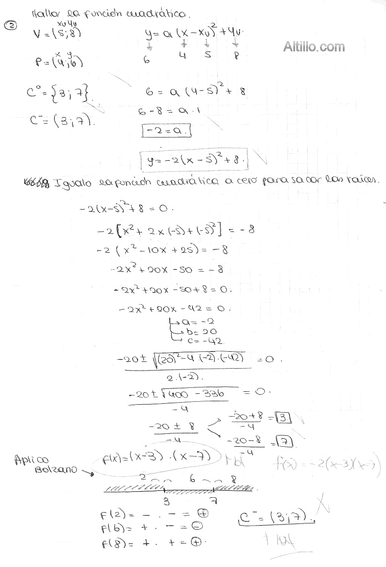
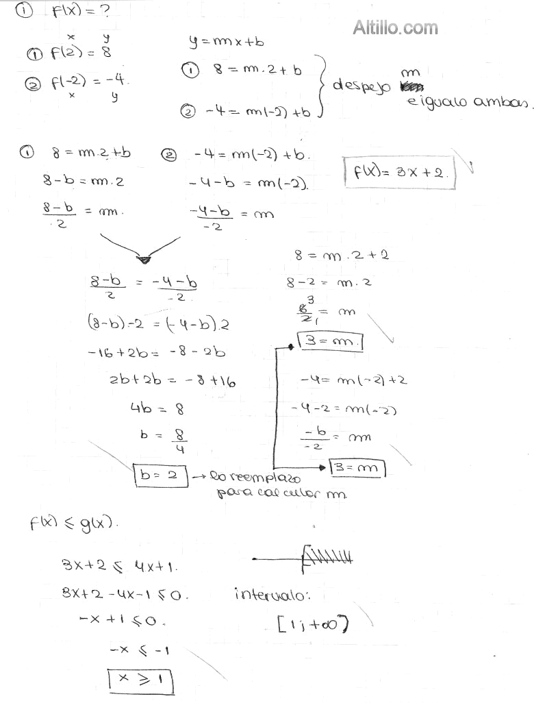
Altillo.com > Exámenes > UBA - CBC > Matemática

Matemática

1º Parcial

1º Cuat. de 2012

Altillo.com