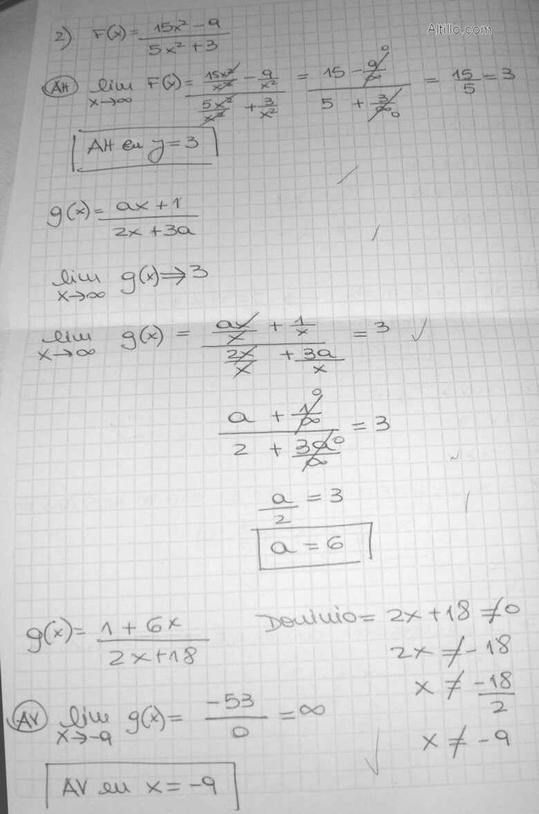
Altillo.com > Exámenes > UBA - CBC > Matemática

Matemática

1º Parcial

Cátedra: Gutiérrez 2º Cuat. de 2011

Altillo.com