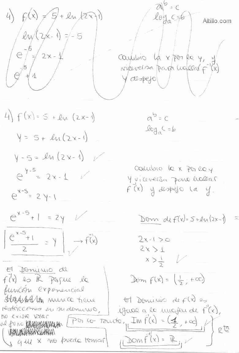
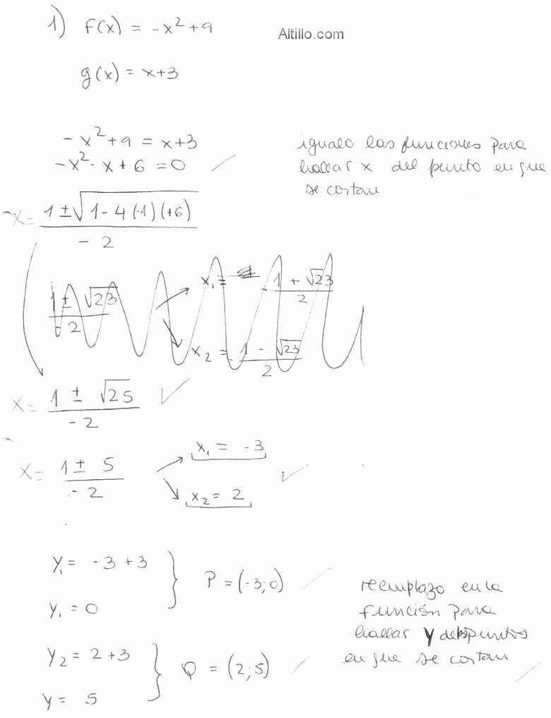
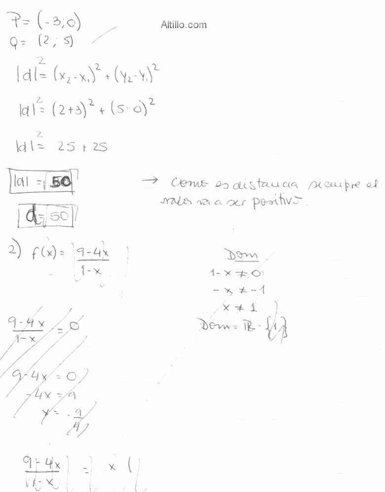
Altillo.com > Exámenes > UBA - CBC > Matemática

Matemática

1º Parcial

Sede: Ciudad Universitaria

2º Cuat. de 2010

Altillo.com