Altillo.com > Ex�menes > UBA - CBC > Matem�tica

Matem�tica

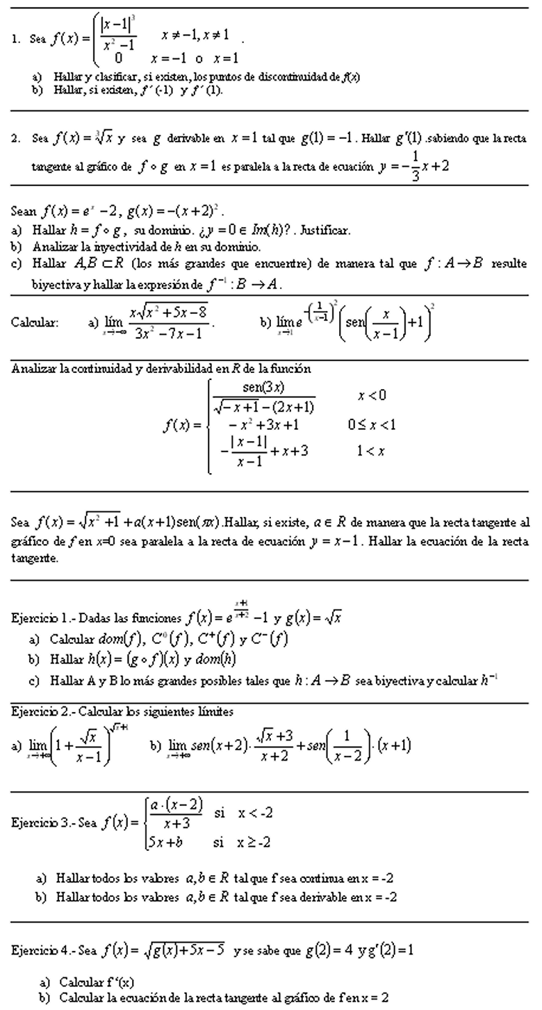
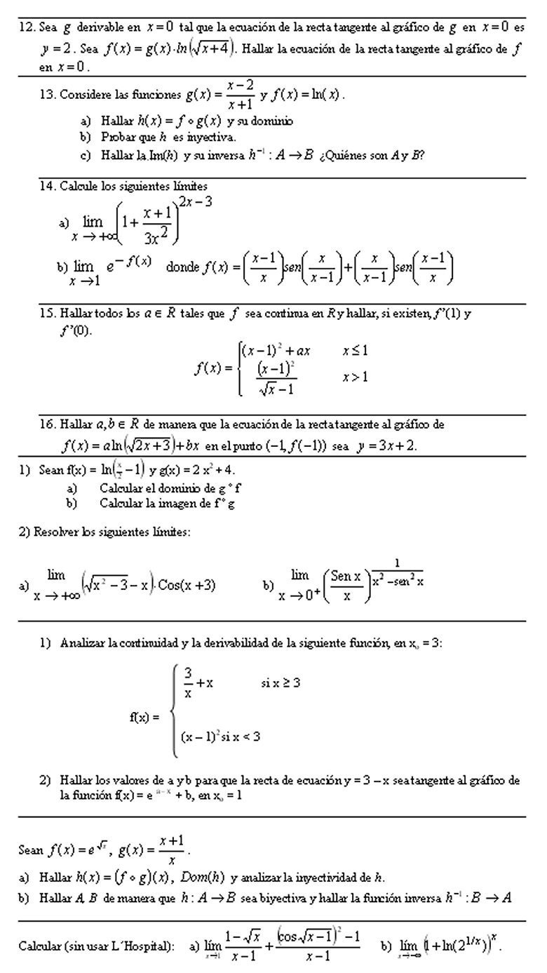
Recopilaci�n de Ejercicios del 1� Parcial

C�tedra: Gutierrez

1� Cuat. de 2008

Altillo.com