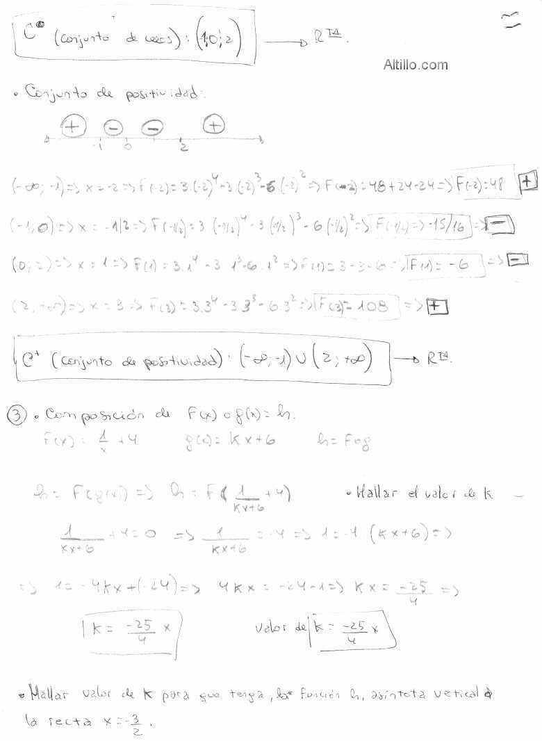
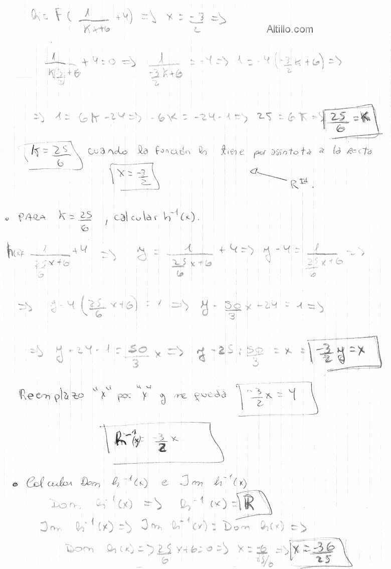
Altillo.com > Exámenes > UBA - CBC > Matemática

Matemática

 1º Parcial

Cat. Gutiérrez

1º Cuat. de 2008

Altillo.com