Altillo.com > Exámenes > UBA - CBC > Matemática

Matemática

1º Parcial

Cat. Gutierrez

1º Cuat. 2008

Altillo.com

 

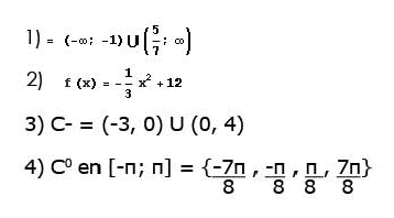
RESPUESTAS