Altillo.com > Exámenes > UBA - CBC > Matemática

Matemática

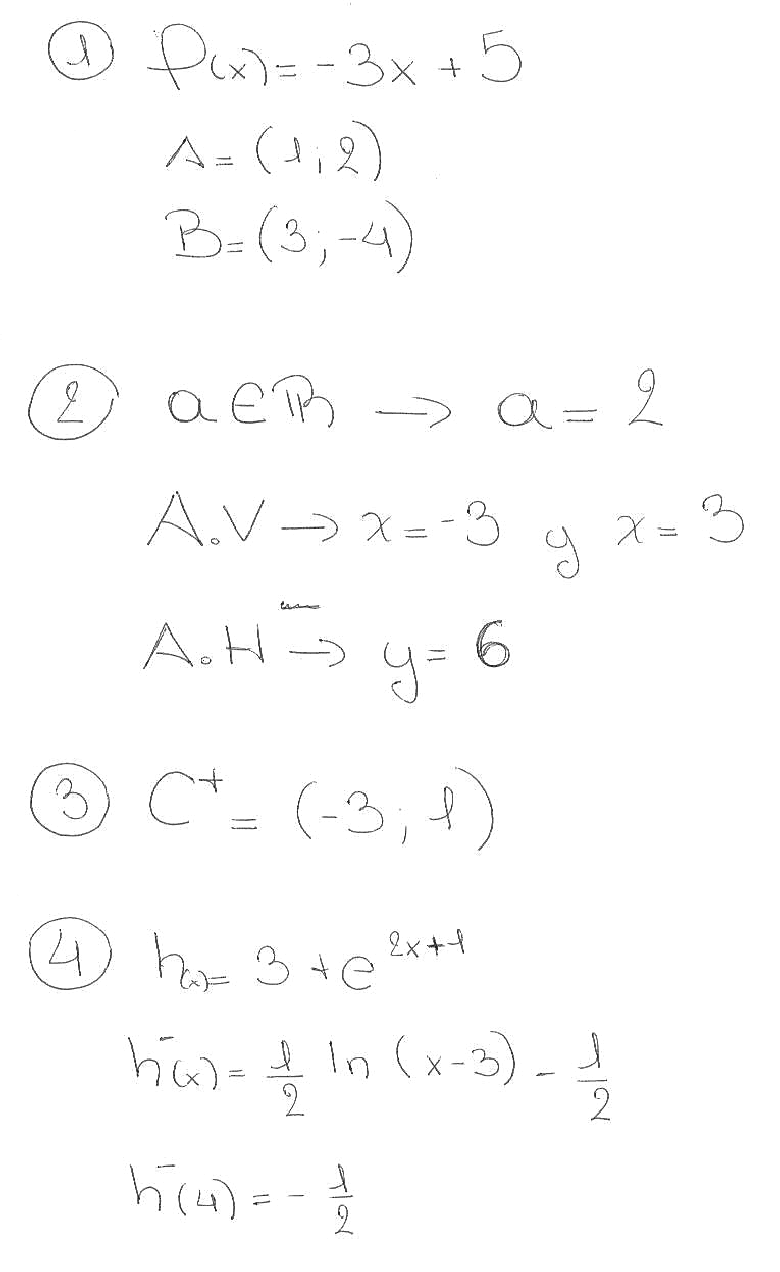
1º Parcial (Con Respuestas)

Cátedra: Gutierrez 1er Cuat. de 2007

Altillo.com

Respuestas al pie de página

Respuestas