Altillo.com > Exámenes > UBA - CBC > Matemática
|
Matemática |
2º Parcial |
Cátedra: Gutierrez | Sede Merlo |
1° Cuat. de 2006 |
Altillo.com |
1) Hallar X subcero perteneciente a los reales de manera que la recta
tangente al gráfico de la función:
en el punto de abscisa xsubcero tenga pendiente 3.
2) Hallar los intervalos de crecimiento y de decrecimiento y los máximos y
mínimos relativos de la función :
![]()
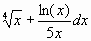
3) Calcular la integral de :
![]()
4) Hallar el área de la región encerrada por los gráficos de las funciones
f(x)=
y g(x)=
para X entre -5;3.