Altillo.com > Exámenes > UBA - CBC > Matemática
|
Matemática |
2º Parcial |
Cátedra: Gutierrez |
1° Cuat. de 2006 |
Altillo.com |
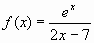
1) Hallar el único punto P tal que la ecuación de la recta tangente al
grafico de
en
el punto P es y= -x+8.
2) Hallar el dominio, los intervalos de crecimiento y de decrecimiento y los
máximos y mínimos relativos de
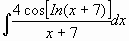
3) Calcular
![]()
4) Calcular el área de la región encerrada por el grafico de
y el eje x para xє[1;4].